Introduction to Queue
Lyapunov Optimization은 위 책을 참고하여 정리 되었습니다.
혼자 공부하면서 쓴 내용이기 때문에 잘못된 내용이 있을 수도 있습니다…개강하면 수정할게요…
Introduction Queue
- 이 포스트는 동적 최적화의 기법 중 하나인 Lyapunov 최적화 기법에 대해 다룬다.
What is Queue?
- Queue는 무엇이고, 어떻게 표현이 될까를 생각해보자.
Queue Expression
-
네트워크에서 Queue는 실제적인 환경을 표현하기 위해 사용된다.
-
여기서 네트워크는 timeslot마다 유입되는 일의 양과 이 일을 처리해서 보내는 라우터가 있다고 해보자.
→ 각각을 a(t)와 b(t)로 notation을 정의해보자. -
우리가 정의한대로 한다면 다음과 같이 Queue를 표현할 수 있다.

→ a(t) : the amount of new work that arrives at timeslot t.
→ b(t) : the amount of work that the router of the queue can process on timslot t. -
a(t)와 b(t)가 “stochastic”하다고 하면, 어쩌면 모든 네트워크를 대변할 수 있을 것이다.
→ 그렇다면, a(t)와 b(t)가 어떤 RV로 모델링 되어야 한다는 것을 의미한다.
→ 즉, 미래의 상황까지 a(t)와 b(t)의 정보를 모두 알고 있다는 것을 의미한다. -
위 내용을 그림으로 확인해 보자.

→ 여기서, Q(t)를 backlog라고 하고, 처리되어야 할 일의 양을 의미한다.→ Backlog : the amount of work that should be processed.
Rate Stability
-
b(t)를 우리는 확률적인 값으로 한다고 앞서 말헀다.
-
그럼 b(t)를 실제 일의 처리량이라고 생각해보자. b틸다로 표기할 것인데 특수 문자가 없다 ㅋㅅㅋ

→ 실제 처리되는 일의 양은 확률 적인 값보다 낮을 것이기 때문에 max를 제외하고 화살표 아래와 같이 표현할 수 있다. -
여기서, 식의 확장을 위해 두 개의 timeslot인 t1과 t2를 고려해보자.

→ Queue는 시간의 연속에서 처리되는 형태이기 때문에, 화살표 왼쪽과 같이 표현을 할 수 있다.
- 먼저, 화살표 우측 상단의 식을 확인해보자.
→ t2=t, t1=0인 상황에 대한 식으로, 단순히 좌측 식에서 t로 나눈 상황을 의미한다. (t2=t가 0이 아니기 때문에 가능) - 우측 하단의 식은 위와 동일하지만, b틸다가 아닌 b가 사용된 것을 알 수 있고, 이로 인해서 부등호가 적용된다.
- 먼저, 화살표 우측 상단의 식을 확인해보자.
Definition
-
Rate stability는 다음과 같은 상황을 지칭한다.

→ 앞서 본 식에서 limit을 취했을 때를 가정한 것이다.
→ 위 식을 해석해보자면, 시간이 계속해서 흐를수록 쌓이는 양이 없이 처리를 잘 한다는 뜻이다.(큐가 수렴한다는 뜻이다.) -
저걸 만족하려면 어떻게 해야될까? 다음을 먼저 정의해보자.
- 들어오는 일의 양의 수렴 값 → a

- 처리될 수 있는 일의 양의 수렴 값 → b

- 편의 상 각각을 a와 b로 notation을 정의하겠다.
- 들어오는 일의 양의 수렴 값 → a
-
그럼, a <= b를 만족하기만 한다면 시간이 계속 지났을 때 큐는 0으로 수렴하게 될 것이다!
→ a > b 라고 한다면, a - b로 큐가 수렴되게 될 것이다.
Example - No observation.
- 야무진 예제를 살펴보자.
- 모든 패킷은 고정된 길이를 갖고 각 Queue에 입력으로 들어온다.
- 라우터에 할당된 Queue는 한 슬롯에서 하나의 패킷만을 처리할 수 있다.
- 매 슬롯에서, 우리는 어떤 Queue로 서비스 해야할지 골라야 한다. (한 슬롯에서 2개씩)
-
Q. Design a router allocation algorithm to make all queues to be rate stable when arrical rates are given as follows.
-
자 그러면 as follows를 보자!
→ 여기서 사용되는 a는 각 Queue로 유입의 수렴 값(a^av)을 의미한다. -
처리량(b(t))는 다음과 같이 정의된다.

→ 단순히 위 조건 중 (2)번을 의미한다.
1. (a1, a2, a3) = (0.5, 0.5, 0.9)
- 각 큐가 선택된 확률이 (0.5, 0.5, 0.9)라고 이해해도 괜찮다.
→ Law of large number 때문이고, 각 큐로의 유입이 1이라고 해석해도 괜찮기 때문이다. - 그러면 큐가 서비스할 확률을 한 번 살펴보자. (문제에서 정의해준다.)
- 0.5의 확률로 (0, 1, 1)
- 0.5의 확률로 (1, 0, 1)
- 위의 확률이 주어졌을 때, Law of large number에 따라 b1, b2, b3가 어떻게 수렴될지 생각해보자.
- b1 : 두 개의 choice에서 0.5의 확률만을 가지니, b1 = 0.5
- b2 : 두 개의 choice에서 0.5의 확률만을 가지니, b2 = 0.5
- b3 : 두 개의 choice에서 모두 있으니, b3 = 1
- 자, 수렴 값을 모두 찾았으니 이제 rate stable한지 확인을 해보면,

→ 모두 만족하는 것을 알 수 있다!
→ 따라서, 위와 같이 확률적 모델링을 한 네트워크 환경은 rate stable하다.
Example - Observation
-
또 야무진 예제를 하나 보자.

-
a1과 a2는 매 timeslot에서 유입되는 패킷의 양이다. i.i.d.이고, 각각의 expectation은

-
S는 channel state vector로서, network controller가 매 timeslot의 시작 부분에서 확인하는 값이다.

→ 네 개의 경우의 수가 존재하고, 채널이 모두 ON일 때 어떤 채널을 선택해야할지 골라야한다.
-
-
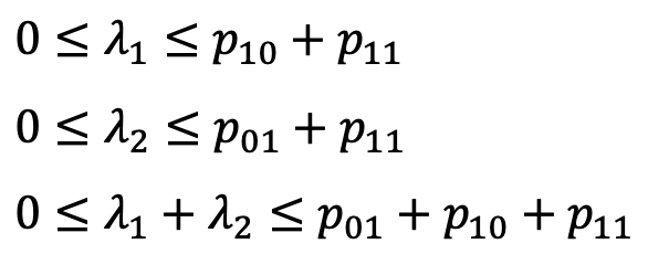
먼저, 각 lambda 값에 대한 boundary는 다음과 같이 정의될 수 있다.

-
이를 만족할 수 있는 여러 lambda 값이 존재할 수 있고, 앞서 정의된 p_xx의 확률 값을 (0.24, 0.36, 0.16, 0.24)로 가정한다면

→ 가능한 lambda의 영역은 위 그래프와 같이 만들어질 수 있다. 이를 Network capacity region이라고 한다. -
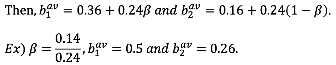
Q. 만약 LAMBDA=(0.5, 0.26)이라고 한다면, 1번 채널이 선택될 확률이 몇이 되어야 할까?

→ 여러 beta 값이 rate stability를 만족시키면서 선택될 수 있겠지만, 예시로 0.14/0.24도 설정될 수 있다.
