Random Processes (2)
Random Processes (2)
현재 정리하는 내용은 KAIST EE의 이융 교수님, Probability and Intorductory Random Process 강의를 참고하여 작성했습니다.
Poisson Processes : Poisson RV and Basic Idea
뿌아송~
- 오늘 배울 것은 Poisson process로 BP에서 Continous한 상황을 생각한 방식이다.
Background : Poisson rv X with parameter λ (1)
-
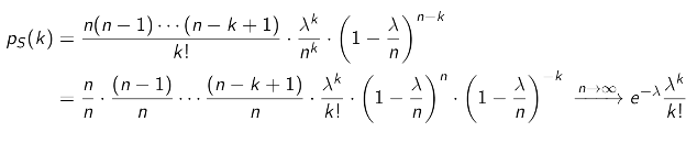
예전에 배웠던 Binomial RV에 대해 생각해보면 이 놈의 정의는 다음과 같다.
→ n번의 독립적인 시도에서 성공확률 p를 가질 때, 성공 개수
→ Models the number of successes in a given number n of independent trials with success probability p. -
공식은 다음과 같다.

-
여기서 우리는 궁금해진 것이 있다.
→ 매우매우 큰 n과 매우 작은 p를 가지고 np = λ로 정했을 때, 어떤 일이 발생할까?
→ 즉, np = λ를 가정하고 n이 무한대로 갈 때 어떻게 될까?- 여기서 np = λ는 쉽게 생각하면 된다.
- n = 1일 때, p = λ
- n = 2일 때, p = λ/2
- n = n일 때, p = λ/n
- 여기서 np = λ는 쉽게 생각하면 된다.
-
앞서 나온 공식을 np = λ를 적용해서 lim하기 쉽게 풀게 되면

→ 요놈이 Poisson rv이다.
Background : Poisson rv X with parameter λ (2)
-
앞서 찾아낸 Poisson rv의 공식은 다음과 같다.

- 기본적으로 Binomail을 표방했기 때문에, λ는 nonnegative integer value를 갖는다.
- Infinitely many slots(n) with the infinitely small slot duration
-
Poisson rv의 Expectation과 var은 다음과 같다.

→ 여기서 Expectation은 mean # of arrivals이다.
→ var을 구할 때, np(1-p)에서 n이 무한대로 갈 때를 생각하며 된다.
Example : Poisson Approximation
-
Limit을 취하기 때문에 Approximation이라고 하기도 한다.
-
요놈자식이 어디에 쓰이는지 하나의 예제를 살펴보자.
A packet consisting of a string of n symbols is transmitted over a noisy channel.
Each symbol has errorneous transmission with prob. of 0.0001, independent of other symbols.
Incorrect transmission is when at least one symbol is in error.
Question. How small should n be in order for the prob. of incorrect transmission to be less than 0.001? -
에러 확률은 아주 낮다. 그리고 패킷의 길이가 꽤나 크다.
→ Poisson approximation을 사용하자! -
간단하다.

Design of Continuous Analogue of Bernoulli Process
- Remind
- Geometric vs. Exponential
- Two rvs with memoryless property
- conitnuous system is discrete system with infinitely many slots whose duration is infinitely small.
- Independence between what happens in a different time region.
- Memoryless and fresh-start property
- Key Idea : Making it as a limit of a sequence of Bernoulli processes.
Key design idea to develop a Continuous Twin (1)
-
Continuous twin
-
Key point : Understand the number of arrivals over a given interval [0, 𝛕]
-
Assume that it has some arrival rate λ.
→ Bern Process에서 하나의 슬롯에서의 성공확률 p를 모방한 것
→ # of arrivals / unit time -
우리는 discrete time slots의 BP를 다룰 줄 안다.
-
-
Limit을 해준다고 했으니 일단은 [0, 𝛕] 구간을 δ의 길이를 갖도록 쪼개주자.
→ Then, n = # of slots = 𝛕 / δ -
그럼, 여기서 δ를 무한대로 보내버리면 continuous 상황을 만들 수 있을 것이다!
Key design idea to develop a Continuous Twin (2)
- 우리가 갖고 있는 아이디어는 : during one time slot of length δ
- 그럼 모델링을 위해 여기서 3가지의 상황을 생각해보자.
- 슬롯에 하나의 도착이 있을 확률
→ arrival rate와 slot length가 관련이 있을 것이다.
→ arrival rate가 높아지면 확률 상승, 반대면 반대 (slog length도 비슷) - 슬롯에 두 개 이상의 도착이 있을 확률
→ 슬롯이 매우 작아지면 거의 없을 법한 확률이다. - 슬롯에 도착이 없을 확률
→ 전체 확률(1)에서 [1]과 [2]의 확률을 빼주면 된다~!
- 슬롯에 하나의 도착이 있을 확률
- 수학적으로 이제 생각해보자.
- arrival rate와 slot length가 [1]의 확률에 영향을 끼치니
→ λδ - 거의 없을 법한 확률이니까
→ 0 - 이건 [1]과 [2]를 빼면 되니까
→ 1 - λδ - 0
- arrival rate와 slot length가 [1]의 확률에 영향을 끼치니
- 근데.. 없을 법한 확률이지 완전히 0은 아니다. 따라서 다음과 같이 수정을 해준다.
- λδ + o(δ)
- 0 + o(δ)
- 1 - λδ + o(δ)
- 여기서 o(δ)의 정의는 다음과 같다.
→ Some function that goes to zero faster than delta.
→ Thus, for very small delta, o(δ) becomes negligible, compared to δ.
Key design idea to develop a Continuous Twin (3)
-
지금까지 우리가 생각한 아이디어는 다음과 같다.
-
Given small δ,
→ # of arrivals : ~ Bin(n, p) where n = 𝛕 / δ and p = λδ -
그럼 여기서, δ → 0라고 한다면, np = 𝛕 / δ * λδ = λ𝛕
→ Oh! 어디서 봤던 것이다! 바로 Poisson rv!→ [ δ → 0 ] == [ n → INF ]
-
따라서, 다음이 성립되게 된다.

→ Expectation = λ𝛕 : mean # of arrivals * time
-
Poisson Processes: Definition and Properties
Poisson Process: Definition
- An arrival process is called a Poisson process with rate λ, if the following are satisfied :
- Independence : 두 개의 겹치지 않는 시간대의 # of arrivals는 독립적이다.

- Time homogeneity : 동일한 길이를 갖는 시간대의 # of arrivals의 확률은 동일하다.

- Small interval probability :

→ 함수 oi(𝛕)는 negligible하다. - Distribution of N𝛕 : (3)의 확장판이다.

- Independence : 두 개의 겹치지 않는 시간대의 # of arrivals는 독립적이다.
Poisson Process : P(k, 𝛕), N𝛕 and T
- 이해를 돕기 위해 몇가지 질문을 던져보자.
-
Number of arrivals of any interval with length 𝛕 ~ Poisson(λ𝛕)
→ PP는 ’시간의 위치’가 아닌, ’시간 자체’와 상관이 있다.
→
→ 따라서, 모든 값에 대해 Poisson RV 값을 갖게 되고.→ 여기서 λ𝛕는 mean # of arrivals를 의미한다. 죽, 0 ~ 𝛕 까지의 시간 중에서의 mean # of arrivals.
-
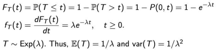
Time of first arrival T
→ Continuous 한 상황에서 생각을 해보자. CDF!
→
→ 이는 Exp rv임을 알 수 있고, 따라서 memoryless 속성을 갖는다.
Poisson Process: Example
-
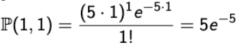
Receive emails according to a Poisson process at rate λ = 5 messages/hour.
- Mean and variance of mails recieved during a day
→ day = 24 hours.
→ E(N𝛕) = var(N𝛕) = λ𝛕 = 5 * 24 = 120 - P[one new message in the next one hour]
→ 𝛕 = 1
→
- P[exactly two msgs during each of the next 3 hours]
→ ‘시간의 위치’가 아닌, ‘시간 자체’와 상관 있으며, 따라서 두 개의 겹치지 않는 시간대의 확률은 독립적!
→ P(2, 1) * P(2, 1) * P(2, 1)
→
Memoryless and Fresh-start property
- 이전에 배웠던 Bern. process의 속성과 아주 비슷하지만, 연속적인 시간을 다루기 때문에 time slots이 없음을 먼저 숙지하자.
- Fresh start. : Start wathcing at time t, then you see the Poisson process, independent of What has happend in the past.
- Bern. Process에서도 배웠던 k-th arrival time, Yk에 대해서도 생각해보자.
→ k-th interval time을 Tk라고 했을 때, Tk = Yk - Yk-1이 될 것이다.

→ 그럼, Yk = T1 + T2 + … + Tk이고 이것은 BP와 달리, sum of i.i.d. exponential RVs이다.
→ T1, T2, …, Tk들은 모두 독립이기 때문에, Exp.과 Var.는 다음과 같이 표현된다. (Linear transform)

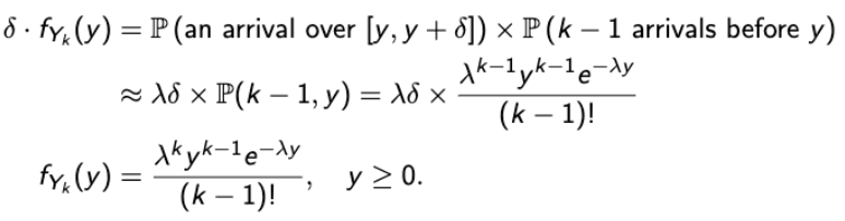
PDF of Yk
- 아주 작은 값 δ가 주어졌을 때,
→ PDF of Yk =
= prob. of k-th arrival over [y, y+δ]
→ 적분을 위해 직사각형을 만든다고 생각하면 된당. - 여기서, δ는 아주아주아주 작은 값이기 때문에, 오직 하나의 arrival만 생긴다고 하면 앞의 식은 다음과 같이 전개된다.

→ 이것을 Erlang rv라고 한다. - Erlang rv.

→ Bern. 에서 했던 것과 같이, Erlang(1, λ) = EXP(λ)이다.
→ Bern.에서는 Geom!
Poisson vs. Bern.

Example: Poisson Fishing
Catching fish : Poisson process λ = 0.6/hour.
2시간 동안 낚시를 하게 된다.
여기서, 2시간 안에 적어도 한 마리의 물고기를 낚는다면, 2시간째에 낚시를 멈춘다(그 동안 몇마리를 잡든 상관 없다.).
그렇지 않다면 한 마리의 물고기를 낚을 때까지 계속한다.
-
fishing time > 2 hours.
→ 2시간 초과를 한다는 것은, 2시간 동안 한 마리도 못잡았다는 뜻이다.

-
2 < fishing time < 5
→ 2시간 동안 한 마리도 못 잡았고, 3시간 동안 적어도 한 마리를 낚을 경우이다.
→ 여기서 2시간~5시간이 아닌 3시간이라는 것은 fresh-start 속성 때문이다.

-
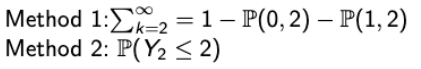
Catch at least two fish
→ 이 때는 적어도 2마리의 물고기를 2시간 이내에 잡아야 할 때이다.

-
E [ future fishing time | already fished for 3h ]
→ Fresh-start
→ 즉, 3시간 동안 낚은 것은 까먹어버리고 새롭게 한 마리를 잡는 것에 대한 Expectation을 구하면 된다.

-
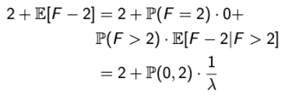
E[ total fishing time ]
→ Expectation은 mean # of arrivals이다. 따라서, 걸린 시간을 다 더해주자.→ 그러면 2시간 전에 걸린 시간(이건 무조건 2시간)과 딱 2시간째, 2시간 이후를 구하면 된다.
→ Continuous에서는 특정 값에 대한 확률은 0이라는 것을 다시 생각하자.

-
E[ number of fish ]
→ 앞의 것과 같지만, λ * 시간 = 물고기 개수!라는 것을 생각해보면 (5)에 λ를 곱해주면 된다.
- Mean and variance of mails recieved during a day